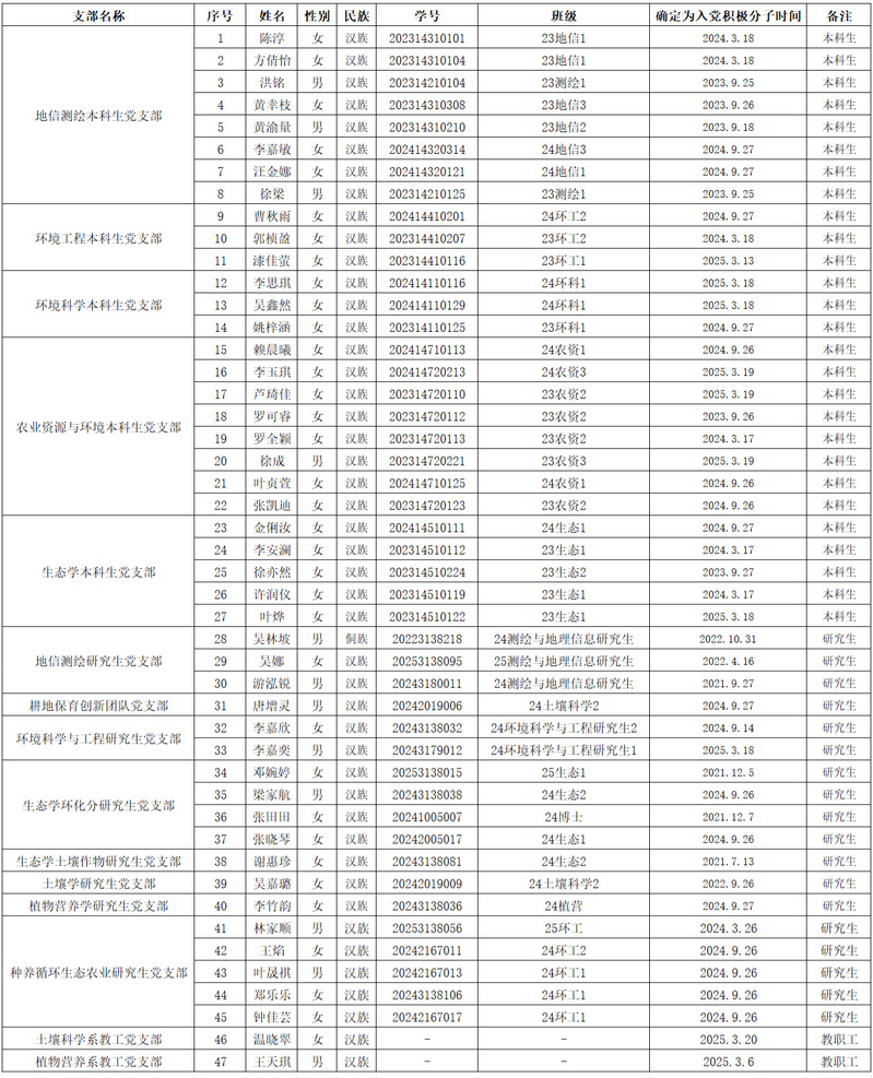
经资源环境学院地信测绘本科生党支部、农业资源与环境本科生党支部、生态学本科生党支部、环境科学本科生党支部、环境工程本科生党支部、地信测绘研究生党支部、生态学土壤作物研究生党支部、植物营养学研究生党支部、土壤学研究生党支部、耕地保育创新团队党支部、生态学环化分研究生党支部、环境科学与工程研究生党支部、种养循环生态农业党支部、土壤科学系教工党支部、植物营养系教工党支部等15个党支部研究决定,拟于近期讨论确定陈淳(等)47位同志为发展对象,现将有关情况公示如下,公示时间为3月30日至4月3日共5天。

公示期内,如有异议,请(书面或电话)向学院党委反映
联系人:徐海婵 黎小钰
联系电话:020-85280291
资源环境学院党委
2026年3月30日
